填图是一种运算游戏,它要求把一些数字按照一定的规则填进各类图形.这不仅可以提高运算能力,而且更能促使你积极地去思考问题、分析问题,使你的智力得到更好地发展.


请你把1、2、3这三个数填在图9.1中的方格中,使每行、每列和每条对角线上的三个数字之和都相等.

解:这样想,如果每行的三个数分别是1、2、3,每列的三个数也分别是1、2、3,那么自然满足每行、每列的三个数之和相等这个条件的要求.试着填填看.有图9—2、图9—3和图9—4三种不同的填法,检查一下,只有图9—4的填法,满足对角线上的三个数之和与每行、每列三数之和相等这个条件的要求.

请把1~9九个数字填入图9—5中,要求每行、每列和每条对角线上三个数的和都要等于15.

解:从1~9这九个数字中,5是处于中间的一个数,而4与6,3与7,2与8,1与9之和都正好是10.所以5应当填在中心的空格中,而其他八个数字应当填到周边的方格中.上面图9—6就是一个符合要求的解答,把5填在中心空格后,尝试几次是不难得出这种答案的.
如下面图9—9所示有八张卡片.卡片上分别写有1、2、3、4、5、6、7、8八个数.现在请你重新按图 9—10进行排列,使每边三张卡片上的数的和等于:①13,②15.

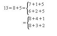
解:①要使每边三张卡片上的数相加之和等于13时,就要将13分拆成三个数之和.

以上的分拆是分两步进行的.
可以看出,因为8+5=13,所以8和5不能填在同一边(若把8和5填在同一边,再加上第三个数时必然会大于13,这不符合题目要求),也就是说,要把8和5分别填在相对的两个角上的方格里.如图9—11所示.

②要使每边三张卡片上的数相加之和等于15时,就要将15分拆成三个数之和:

以上的分拆也是分两步进行的.
可以看出,因为8+7=15,所以8和7不能填在同一边,也就是说,要把8和7分别填在相对的两个角的方格里,如图9—12所示.

图9—13是由八个小圆圈组成的,每个小圆圈都有直线与相邻的小圆圈相接连.请你把1、2、3、4、5、6、7、8八个数字分别填在八个小圆圈内,但相邻的两个数不能填入有直线相连的两个小圆圈(例如,你在最上头的一个小圆圈中填了5,那么4和6就不能填在第二层三个小圆圈中了).
解:答案如图9—14所示.中间的两个圈只能填1和8,是这样分析出来的:在1、2、3、4、5、6、7、8这八个数字中,只有“1”和“8”这两个数,各有一个相邻的数,也就是有六个不相邻的数.中间的两个小圆圈,每个都有六条线连着六个小圆圈,每个小圆圈中恰好能填一个与它不相邻的数.其余的数每个都有两个相邻的数,如4有两个相邻的数2和3,所以在1至8这八个数中4只有五个不相邻的数,这样4就不能填到中间的小圆圈中了.

©2011-2023 多品小学教育
工信部备案号:蜀ICP备16015826号